鉅大鋰電 | 點擊量:0次 | 2018年06月01日
石墨烯的晶格和能帶關系是怎么樣的?
在半導體中,電子的能帶結構決定了電子允許和被禁止的能量范圍,并決定了半導體材料的電學及光學性質。孤立原子的電子占據一定的原子軌道,形成一系列分立的能級。
石墨烯的晶格結構非常穩定,電子在軌道中移動所受到的干擾非常小,具有優秀的導電性能。這種結構導致石墨烯獨特的電子能帶結構,如圖1(b)所示,第一布里淵區的六個頂點為費米點(也稱為狄拉克點或K點),導帶和價帶關于狄拉克點對稱,因此在純凈的石墨烯中,電子和空穴具有相同的性質。即在狄拉克點附近,電子的能量與波矢成線性的色散關系,E=VFP=VFhk。其中,VF為費米速度,大約為光速的1/300,k為波矢。因此,K點附近電子由于受到周圍對稱晶格勢場的作用,載流子的有效靜質量為0,費米速度接近于光速,呈現相對論的特性。所以K點附近的電子性質應該用狄拉克方程(Dirac)進行描述,而不是用薛定諤方程(Schrodinger)進行描繪。石墨烯的載流子的遷移率超過200,000cm2*V-1*s-1,純凈的石墨烯中電子的平均自由程達亞微米量級,近似為彈道運輸,這在制造高速器件上有著誘人的潛力。

圖1(a)石墨烯晶體結構示意圖;(b)石墨烯的三維能帶結構;(c)石墨烯在布里淵區的高對稱性及二維能帶結構
(d)狄拉克點附近的能帶結構和費米面隨摻雜移動示意圖
石墨烯中的碳外層包括4個電子,3個s電子(軌道在石墨烯平面內),和一個p電子(π電子,軌道垂直于石墨烯平面),石墨烯的能帶結構可以用緊束縛的Hamilton方程近似描述,在緊束縛的條件下,π帶的色散關系為:

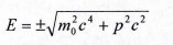
其中,±1分別對應導帶和價帶,kx和ky是波矢k的分量,r0是近鄰碳原子之間的躍遷能,通常取值為2.9-3.1eV,a=sqrt(3)ace,ace=1.42A是碳原子之間的距離。由于每個碳原子貢獻一個π電子,石墨烯的價帶剛好填滿,而導帶全空。如此費米面剛好處于導帶和價帶的相交點,從而石墨烯就有一個不同于通常半導體的奇異特性,即其實零帶隙的材料。又由于石墨烯在交點K附近有線性的色散關系,π電子的能量和動量是線性相關的,根據克萊因-高登方程得到相對論的粒子的能量本征值為:

其中m0是有效質量,并且移動速度恒定,非常類似于光子。所以p電子適用于相對論的Dirac方程,而不適用于Schrodinger方程。p電子表現為無質量的Dirac費米子,導帶和價帶的交點被稱為Dirac點。這種獨特的結構使得石墨烯表現出異常的半整數量子霍爾效應,其霍爾點到為量子電導的奇數倍;當載流子趨于零時仍然具有-4e2/h的最小電導率;電子的運動速度約為光速的1/300,是已知材料中最高的傳輸速度。
上一篇:鐵和氧來驅動驅動更多鋰離子










